ゲーム画像の最高のイラスト

Sintez Soedineniy Ryada Piridazin 3 2n Onov Walmart Canada

Https Pdfs Semanticscholar Org 1557 7c3103cf1befa57db0e40b34b7c860bd6037 Pdf

If The Nth Term Of A Sequence Is 3 2n Find The Sum Of Fifteen

What Is The Value Of 2 N 1 3 5 2n 3 2n 1 Quora

Dg4v 3 2n H M U1 H7 60 En38 Solenoid Valve Buy Dg4v 3 2n H M U1

Prove That 2n 1 2n 3 Dots 4n 1 3n 2 By Induction

Handbook Of Mathematical Functions Online P 437

Prove The Following By Using The Principle Of Mathematical

Solved W Many Sets Of Chromosome 21 Are Present In Each Cell

1 3 5 2n 1 N 2n 1 2n 1 3mathematical Inductionplzzz

Sum Of N Terms Of The Series 2n 1 2 2n 3 3 2n 5 Is

Smd 6 Pin Power Ic 31 32n Ic Card Hotel Lock Supplies

Sum To N Terms 2n 1 2 2n 3 3 2n 5 Youtube

Plos One Evolutionary Implications Of Heterochromatin And Rdna In

Using Mathematical Induction Prove That 3 2n 7 Is Divisible

Https Encrypted Tbn0 Gstatic Com Images Q Tbn 3aand9gcqjxd9j6nuogz Wmafkzcoy4th8gc64vdrpk1bobzihoelzkvmr Usqp Cau

243 N 5 3 2n 1 9 N 3 N 1 Can Someone Solve This Equation And

If 2n 3 2n 3 A N D N 2 N 2 Are In The Ratio 44

Determine N If I 2 N C

Prove That The Term Independent Of X In The Expansion Of Left X

Solved Find The Sum Of The Series Sigma Infinity N 0 1

Principle Of Mathematical Induction Class Xi Exercise 4 1 Part

Https Web Stanford Edu Class Archive Cs Cs161 Cs161 1168 Lecture3 Pdf

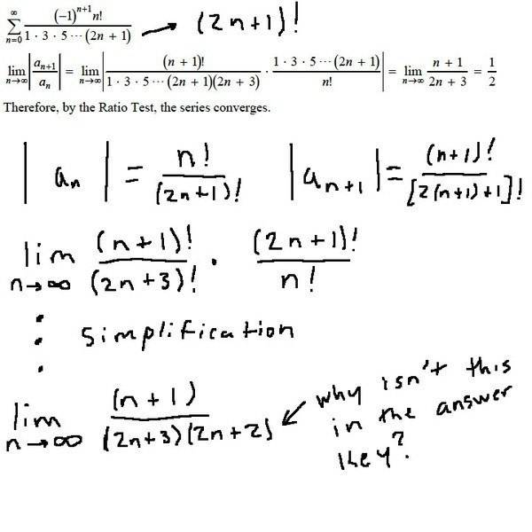
Ratio Test Of A Series Physics Forums

Find The Sum Of First 24 Terms Of An A P Whose Nth Term Given By

1 Meiosis And Chromosome Number Ppt Download

Https Www Cs Bgu Ac Il Ds152 Wiki Files Presentation02 2 Pdf

Http Websites Delta Edu Bdredman Graphics 162 Handouts Sequencesarithmetic Pdf

Prove That 5 2n 1 3 2n 1 2 2n 1 Is Divisible By 15 For

How To Prove That 3 2n 2 8n 9 Is Divisible By 64 By Using A

Afda Name Day 7 Block

Ex 4 1 22 Prove 32n 2 8n 9 Is Divisble By 8 Chapter 4

Find Sum Of First 15 Terms Of An Ap Whose Nth Term Is 3 2n

2

Example 15 Find Sum Of First 24 Terms An 3 2n Examples

Find The Sum Of First 15 Term Of An Ap Whose Nth Term Is 3 2n

Rd Sharma Solutions For Class 11 Chapter 12 Mathematical

Https Encrypted Tbn0 Gstatic Com Images Q Tbn 3aand9gcqtxy30pq47c3fvly6c Wj3l3csrs2ctw2fpdpy6wdr6gxenst9 Usqp Cau

Solved Consider The Following Series Sigma N 1 Infinity3

A I Step 1 Ch Oet 3 Ch3cn 30 Min Reflux Step 2 Iso

Ex 4 1 5 Prove 1 3 2 32 3 33 N 3n 2n 1 3n 1

A Total Of 2n People Consisting Of N Married Couples Are

Find The Sum Of Series Upto N Terms 2n 1 2n 1 3 2n 1 2n

1 2 3 4 2n 2 2n 1 2n N N 1 3 5 2n 3 2n 1

Leuze Ft5 3 2n M8 Energetic Diffuse Sensor

Vickers Dg4v 3 2n M U H7 60 Solenoid Valve 24vdc 30w 3000 Psi

Exercise 3 5 Polynomial Equations With No Additional Information

Https Corbettmaths Com Wp Content Uploads 2019 12 Algebraic Proof Answers Pdf

Ncert Solutions For Class 9 10 11 And 12 Prove The Following By

Answered Find The Radius Of Convergence R Of Bartleby

How To Prove That Math 1 3 3 3 5 3 2n 1 3 2n 4

Http Www Math Tamu Edu Haoguo Week12filled Pdf

Prove The Following By Using The Principle Of Mathematical

Https Www Mtholyoke Edu Courses Jmorrow Calculus Ii Factexsolns Pdf

Https Encrypted Tbn0 Gstatic Com Images Q Tbn 3aand9gcrngscpjoawurcdd0i63r3jogcgnzgtqbyto8s0wjlvbddqal2e Usqp Cau

Solved Question 1 1 Point Expand As A Binomial Series

2n Indoor Touch How To Configure To Make And Receive Calls

Find The Sum Of Series Upto N Terms 2n 1 2n 1 3 2n 1 2n

3 2n 2 8n 9 Divisible By 8

2n 3 2n 3 And N 2 N 2 Are In The Ratio 44 3 Find N

Solved Match The Series With The Right Expression Use T

Eaton Vickers Directional Control Valve Dg4v 3 2n H Mu1 H7 60 En38

Sideway Bick Blog On 18 05 From Sideway To

Hw3solns Solutions To Homework 3 Cmps 101 Ucsc Studocu

Full Specs For 2016 Thor Motor Coach Hurricane 32n Rvs Rvusa Com

Prove That 3 2n 1 2 N 2 Is Divisible By 7 Brainly In

Nvlpubs Nist Gov

Sideway Bick Blog On 18 05 From Sideway To

1 3 3 3 5 3 2n 1 3 1 3 5 2n 1 Fun With Num3ers

Week 4 Introducing Algebra 3 2 Always Sometimes Never True

Answered For Exercise Simplify The Expression Bartleby

Double Factorial Wikipedia

3x 6x 9x N Terms 3 2 N N 1 X Prove By Pmi Edurev Class

A New Approach To Overflow Detection In Moduli Set 2n 3 2n 1 2n

Sideway Bick Blog On 18 05 From Sideway To

Multiply 2n 3 N 4 2n 8n 3n N 11n Ppt Video Online

Https Faculty Math Illinois Edu Hildebr 347 Summer19 Induction2 Pdf

Solved Sequences Find The Sequence S Limit If It Exists

Prove The Following By Using The Principle Of Mathematical

Prove The Following By Using The Principle Of Mathematical

Mathematical Induction

How To Prove 1 2 3 2 5 2 2n 1 2 N 4n 2 1 3 By Mathematical

Simplify I A2n 3 A 2n 1 N 2 A3 2n 1 An 2n 1

W E 28 From 2n 1 Consecutive Positive Integers 3 Are Selected

Prove By The Principle Of Mathematical Induction 3 2n 2 8n 9 Is

Program To Find The Nth Term Of The Series 3 7 13 21 31

Prove That The Product Of 2n Consecutive Negative Integers Is

Http Datamining Iip Fudan Edu Cn Ppts Algo Lecture04 Pdf

Applied Mathematics Series 55 P 932

Https Encrypted Tbn0 Gstatic Com Images Q Tbn 3aand9gcq0jjtpvtrbph8yjhr36sudw4hpwcmnptdw82u5yi V5v0ponig Usqp Cau

Prove That 3 2n 1 3 N 4 Is Divisible By 2 By Using Pmi Math

2n 3 2n 3 And N 2 N 2 Are In Ratio 44 3 Find N Brainly In

Answered 3n 2n 3 2n 5n 6 Determine If The Bartleby

Ex 4 1 17 Prove 1 3 5 1 5 7 1 7 9 1 2n 1 2n 3

Express In Factorial Form N 1 N 2 N 3 2n Youtube

2

There Are Three Forces Acting On An Object 4n To The Left 5n To

Find The Value Of N If I 5 N 2 X 3 2n 3 135 And Ii 100

Https Math Berkeley Edu Kruckman Summer2013 Homework 201 20solutions Pdf

Https Arxiv Org Pdf 1608 07240

Mth3101 Advanced Calculus Chapter 2

Kaprekar Number Wikipedia

Practice Problems 31 N Cos N 12 23 S 21 32n 1 N Ln N 3 N 2

Solved Problem 10 Consider The Following Series 2 2n